• 방문자수
  • 오늘621
  • 어제1,166
  • 최대2,726
  • 전체 373,976

자유게시판

임진왜란 공신과 원종공신

페이지 정보

no_profile 한가람쪽지보내기 메일보내기 자기소개 아이디로 검색 전체게시물 작성일20-07-05 09:11 조회2,774회 댓글3건

본문

임진왜란 공신과 원종공신


우리의 반남박씨 선조에는 정 공신 5 분과 많은 분의 원종공신 이 계신데
정 공신은 확실하게 밝혀져 있으나


원종공신 에 대한 기록은 전무하고 각 종파에서 파악된 몇분만 알려져 있다 .
조선조에서 28 회의 공신이 있었으며 그에 따르는 원종공신 도 있게 마련이고
그 외에 중요한 일이 있을때마다 원종공신 의 훈을 준것이 있는데 그에대한 기록이 별로없다 .

그 중 임진왜란과 관계된 2 회의 공신이 있었고
첫 번째 선조의 파천을 수행한 86 분의      호성공신
두 번재 임진왜란의 삼대첩의 주역 18 분의 선무공신

우리문중에는 호성공신에 오창공 (휘 동량 ) 께서 호성공신 2 등공신에 훈을 받았고
호성공신과 선무공신때 원종공신 의 훈작을 받은 분의 기록을 찾게 되어 이를 밝히고자 합니다


 

임진왜란 원종공신

        호성 원종 일등 공신
  금양위 박 미(1592-1645)       -응복-동량-
  졸헌공 박응복(1530-1598)     -응복  ( 증영의정 補祚공신 潘川府院君 )
  도정공 박응인(1532-1606)     -응인
  시정공 박동언(1553-1605)     -응순-동언
  副率공 박동윤(1561-1593)     -응복-동윤    ( 추록호성 원종공신 )
  서포공 박동선(1562-1640)     -응천-동선
            
     호성 원종 삼등 공신
  교리공 박 의(1600-1644)      -응복-동량--세채
  남곽공 박동렬(1564-1622)    -응복-동렬
  길주공 박동망(1566-1615)    -응복-동망
  첨추공 박 호(1586-1667)      -응복-동렬-
  첨정공 박 린(1594-1665)      -응복-동망-        
  나헌공 박 황(1597-1648)      -응순-동언-
  학생공 박동휴(                   -응남-동휴

     선무 원종 일등 공신
  금양위 박 미(1592-1645)      -응복-동량-
  오창공 박동량(1569-1635)    -응복-동량
  서포공 박동선(1562-1640)    -응천-동선

    선무 원종 이등 공신            
  길주공 박동망(1566-1615)     -응복
  좌랑공 박 원(1566-1597)    -응남-동도-(남일공 휘 응남의 손자 관 병조좌랑)
                                        
    선무 원종 삼등 공신 
  활당공 박동현(1544-1594)     -응천-동현
  약창공 박 엽(1570-1623)       -응천-동호-
           박사룡                     -秉鈞--- 承張-聃壽-士龍 (13
        
15.JPG 

선무원종공신 박미

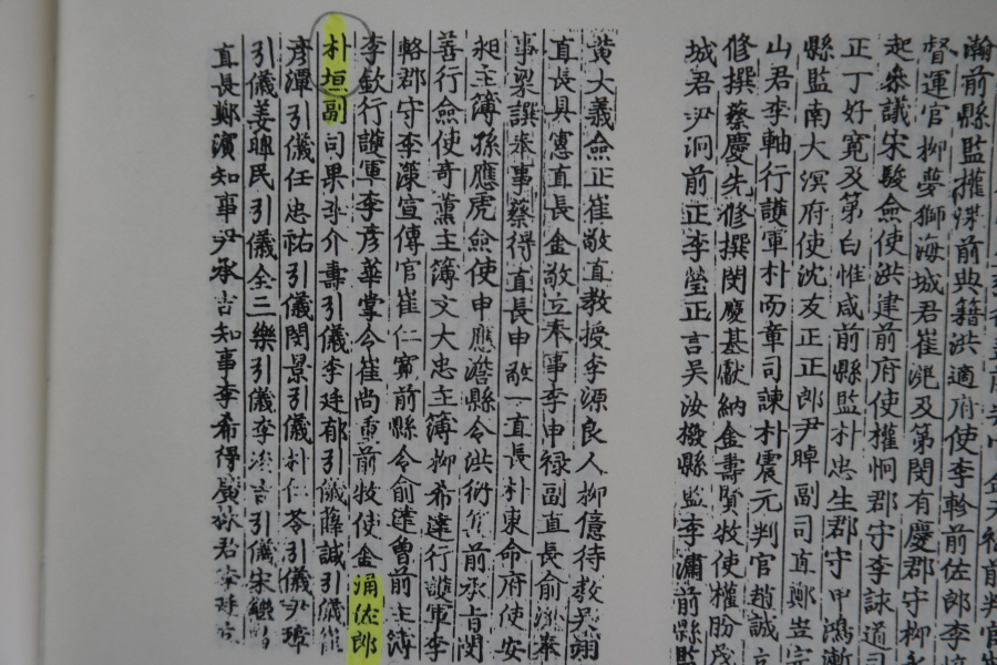
5beabeb8ebafb8eab8b05dsam_0261.JPG 
 호성원종공신 1등  박응복 박응인 박동언


5beabeb8ebafb8eab8b05dsam_0265.JPG 

호성 삼등공신   학생공  박휴

5beabeb8ebafb8eab8b05dsam_02661.JPG 

선무원종 일등공신   서포공 박동선

5beabeb8ebafb8eab8b05dsam_0267.JPG 

선무원종 이등공신  병조좌랑  좌랑공 박원


  5beabeb8ebafb8eab8b05dsam_0264.JPG

학생 교리공 박의 남곽공 박동렬 길주공 박동망 첨추공 박호  첨정공 박인 나허공 박황

댓글목록

송촌옹님의 댓글

profile_image no_profile 송촌옹쪽지보내기 자기소개 아이디로 검색 전체게시물
작성일

귀중한 자료를 올려주셔서 대단히 감사하게 생각합니다.
저도 선무공신옥 복사본을 한벌 갖고 있었으나, 허술히 관리하여 지금은 찾기가 어려워 졌습니다.
그리고 훼손이 심하여 젓페이지는 멊어져 2등공신들의 이름을 알수 없었는데 여기 올린 공신옥의 명단에는 거의 완벽한 명단을 확인할 수 있군요,

공신에는 正功臣과 원종공신으로 나누는 것으로 알고 있는데, 원종공신은 정공신에 비하여 어떠한 무게를 갖고 있는지 궁금하군요, 왜란이 있던 당시에 강보에 싸인 아이들이 1등공신에 이름을 올린 것을 보면, 그렇게 큰 무게를 두고 선발하지는 않은 듯 합니다.

한가람님의 댓글

profile_image no_profile 한가람쪽지보내기 메일보내기 자기소개 아이디로 검색 전체게시물
작성일

원종공신정공신을 받쳐주던 수많은 준공신들조선시대 28차례에 걸쳐 책봉된 공신은 특별한 경우가 아니면 대부분 10-50명 정도의 적은 수에 불과했다. 경종 대에 책봉된 부사공신의 경우는 1명뿐이다. 국가나 왕실의 위기를 극복하는 데 나름대로 일조한 수많은 사람 중에서 공신에 책봉되는 수는 매우 제한될 수밖에 없었다.공신 책붕에서 제외된 무수한 유공자들을 포상하는 방법이 이른바 원종공신 제도였다. 정식으로 공신이 된 사람들을 정공신이라고 한다면, 원종공신 은 준공신이라고 할 수 있다. 원종공신 은 정공신에서 빠진 모든 유공자를 대상으로 하였으므로 수천명씩 책봉 되곤 하였다. 개국공신 경우에는 9000여 명의 원종공신 이 양산되기도 하였다.원종공신 을 중국어서는 元從이라고 썻는데 , 처음부터 수종한 공신이라는 의미다. 이에 비해 조선에서 元從 대신 原從을 사용한것은 명나라 태조의 이름이 元이므로 이를 피하기 위해서였다.
원종공신 은 준공신이었기에 정공신이 결정된 이후에 전정되었다. 원종공신 의 선정은 녹훈도감에서 주관했으며 명칭은 정공신의 대표명칭 다음에 원종이라는 이름을 붙였다. 예컨대 정공신이 호성공신이라면 호성 원종공신 이라고 하였다.원종공신 등급도 정공신 예에 따라 1등 원종공신 . 2등 원종공신 . 3등 원종공신 으로 구별을 했다. 공로의 차이에 따라 등급을 구별하고 포상을 차별하기 위해서였다.
원종공신 에 대한 포상은 원종공신 의 증명서라고 할수있는 녹권(錄券)에 자세히 규정되었다. 왕명을 받아 승지가 작성한 녹권은 녹훈도감에서 발급했다.
세조의 즉위후 좌익공신을 책봉한 후 선정된 원종공신 의 경우, 세조가 직접 명령한 포상의 내용원종공신 1등에게는 각각 1자금을 더하여주고 그 자손은 음직을 받게 하며 후세까지 죄를 감면하라. 부모에게는 작을 봉하고 자손중에서 한 사람을 원하는 바에 따라 산관 1자급을 더하여 주라원종공신 2등에게는 각각 1자금을 더하여주고 그 자손은 음직을 받게 하며 후세까지 죄를 감면하라자손중에서 한 사람을 원하는 바에 따라 산관 1자급을 더하여 주라 그 가운데 자손이 없는 자에게는 형제 사위 조카중에서 원하는 바에 따라 산관 1자급을 더하여 주라원종공신 3등에게는 각각 1자금을 더하여주고 그 자손은 음직을 받게 하며 후세까지 죄를 감면하라원종공신 도 정공신 처럼 공신회맹제를 거행하기도 했다. 그러나 원종공신 회맹제에는 왕이 참여하지 않았으므로 정공신회맹제에 비해서 격이 떨어졌다. 그러나 원종공신 회맹제가 있으면 왕은 술과 음식을 내려주어 성의를 표시하기도 하였다.             (조선의 공신 신명호지음 중에서 발취(拔取))

※ 호성 원종공신 녹권을 왕명에 의해 녹권을 작성할때 도승지가 신흠(1566~1628 영의정)으로 선조의 사위 동양위 신익성은 신흠의 아들이고신흠은 첨춘공 호(濠)와 교리공 의(?)의 장인이며
호성 원종공신 도감의 낭청에는 오창공(휘 박동량)인데선조의 사위 금양위의 아버지이고 교리공 의(문순공  박세채 아버지)는 오창공(박동량)의 차남이심

박양우님의 댓글

profile_image no_profile 박양우쪽지보내기 자기소개 아이디로 검색 전체게시물
작성일

귀중한 자료를 접하게 해주신 한가람님께 감사한 마음을 전합니다.
시대상에 비추어 피신하는 선조대왕의 평가는 다양하지만,,,
보필하는 신하의 도리는 백번 마땅하며~~~,,,
우리 반박의  많은 선조님들이 공신으로 책봉 된것에 감회롭습니다.

그러나 제가 아는 바 로는 충남 보령의 임난공신 선양회에는
졸헌공(응복). 활당공(동현). 길주공(동망). 남일공 후(원). 약창공(엽) 다섯분 만 등재가 되었습니다.
아직 등재가 않된 훌륭하신 선조님들도 머잖어 등재가 되었으면 하는 소망을 갖습니다.

끝으로 늘 좋은 자료를 접하게 해 주시는 한가람님의 만수무강을 기원합니다^^~~~,,,

맨위로